2016年4月自考高等数学一真题
2016年4月自考高等数学一真题及答案
2016年4月自考高等数学一真题及答案,本套试卷是2016年4月自考高等数学一真题,有答案。
一、单选题
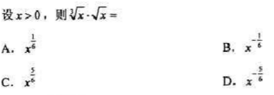
1.
A.
B.
C.
D.
2.函数
的定义域是
A.[7/2,+∞)
B.[-7/2,+∞)
C.(7/2,+∞)
D.(-7/2,+∞)
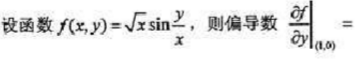
3.设函数
为
A.不存在
B.0
C.1
D.2
4.当x→1时,下列变量是无穷小量的是
A.x/1-x
B.ln(1+x)
C.cos(1-x)
D.lnx
5.下列说法正确的是
A.函数f(x)在点x0处可导,则在该点连续
B.函数f(x)在点x0处连续,则在该点可导
C.函数f(x)在点x0处不可导,则在该点不连续
D.函数f(x)在点x0处不连续,则在该点不存在
6.设函数y=ln(2x),则微分dy=
A.![]()
B.![]()
C.1/2x
D.1/x
7.下列函数在区间(-∞,+∞)上单调减少的是
A.![]()
B.y=sinx
C.y=x^2
D.y=∣x∣
8.已知x=π/2是函数f(x)=acos x+1/2sin 2x的驻点,则常数a=
A.-3
B.-2
C.-1
D.0
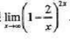
9.
A.
B.
C.
D.
10.
A.-1
B.0
C.1
D.2
二、简单计算题
1.已知函数
,求复合函数f[g(x)]
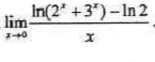
2.求极限
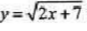
3.设曲线
4.求曲线y=x^2-x^3的凹凸区间
5.求微分方程
的通解
三、计算题
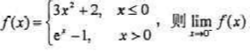
1.已知函数
在x=0点连续,试确定常数a,b的值
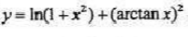
2.设函数
,求导数y'
3.求极限
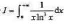
4.计算反常积分
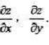
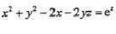
5.设z=z(x,y)是由方程
所确定的隐函数,求偏导数
四、综合题
1.某厂生产某产品Q件时的总成本为C(Q)=1/9Q^2+3Q+96(百元),需求函数为Q=81-3P,其中P是产品的价格,问该厂生产多少件产品时获利最大?并求取得最大利润时的价格。
2.计算定积分![]()
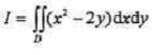
3.计算二重积分
,其中D是由直线X=0,Y=1及Y=X所围成的平面区域,如图所示
4.设D是由曲线y=2x^2与直线y=2所围成的平面区域,如图所示,求:(1)D的面积A(2)D绕轴旋转一周所得的旋转体体积V
安徽省自考网声明:
1、由于各方面情况的调整与变化,本网提供的考试信息仅供参考,考试信息以省考试院及院校官方发布的信息为准。
2、本网信息来源为其他媒体的稿件转载,免费转载出于非商业性学习目的,版权归原作者所有,如有内容与版权问题等请与本站联系。联系邮箱:952056566@qq.com
安徽自考便捷服务
安徽自考微信交流群



